The Daily Insight

Connected.Informed.Engaged.

news

How do you find the critical path

Written by Olivia Shea — 0 Views

On the View tab, pick a view from the Task Views group.Staying on the View tab, select Critical from the Highlight list. The critical path shows up in yellow.To see only the tasks on the critical path, choose the Filter arrow, then pick Critical.

How do you find the critical path of a schedule?

Your critical path is the longest path from the first column through the lines showing prerequisites to the last column. It determines the project completion date because you must complete all tasks on the path within the estimated time or delay the project.

Which is the critical path?

The critical path (or paths) is the longest path (in time) from Start to Finish; it indicates the minimum time necessary to complete the entire project.

Where is the second critical path in Primavera P6?

To locate the multiple float paths in Primavera P6, you need to select the “options” button in the schedule tool, Figure 2. Simply go to Tool -> Schedule -> Options or hit F9. In the “Advanced” tab, Figure 3, Select ‘calculate multiple float paths’ option.

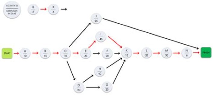
What is critical path example?

For example, in the diagram below, activities E, F, G, H, and I make up the critical path. Their total duration is 100 hours. Activities B, C, D and E make up the second longest sequence with a total duration of 90 hours. The difference between their total duration is 10 hours.

How does P6 determine critical path?

Primavera P6 defines critical activities either by their total float value or by longest path inclusion. Critical activities are displayed in red on the Gantt chart. But you will also want to further distinguish if these red Gantt chart bar activities are critical by total float value or longest path association.

Why is critical path not showing in P6?

A common reason for Primavera P6 users to not have any critical activities on their Gantt chart is due to poor relationship or logic linking. … If your relationship linking was poorly done, then Primavera P6 will not be able to calculate a critical path and will not show you any Critical activities.

What is a critical path diagram?

The critical path method (CPM), also known as critical path analysis (CPA), is a scheduling procedure that uses a network diagram to depict a project and the sequences of tasks required to complete it, which are known as paths.

What is critical path Mcq?

The critical path determines the longest duration to complete the project. Any change in the critical path will determine the change in the project duration.

How do you solve a critical path problem?
  1. Step 1: Specify Each Activity. …
  2. Step 2: Establish Dependencies (Activity Sequence) …
  3. Step 3: Draw the Network Diagram. …
  4. Step 4: Estimate Activity Completion Time. …
  5. Step 5: Identify the Critical Path. …
  6. Step 6: Update the Critical Path Diagram to Show Progress.
Article first time published on

Is longest path the same as critical path?

The term “critical path” is often used to refer to the “longest path”. But an activity that is critical does not necessarily mean it falls on the longest path. … The second is by longest path. Any activities that fall along the longest path are flagged as critical.

What is a near critical path?

A near-critical path consists of one or more near-critical activities that are susceptible to the risk of becoming critical and/or causing critical path delays.

What is float path in P6?

In Oracle Primavera P6, Multiple Float Path analysis is useful for identifying and organizing logic paths leading to a selected End activity in a schedule. … Both “Longest Path” and “Total Float” criteria lead to the same Critical Path: A-B-C-D-E-FINISH.

How do you find critical activities?

  1. Divide the Project into Tasks. Make a list of your tasks. …
  2. Order and Identify Dependencies. Put your tasks in a logical line-up. …
  3. Create the Network Diagram. Now, you can make your task line-up visual. …
  4. Estimate Duration. …
  5. Perform Resource Leveling. …
  6. Determine the Critical Path.

How do you find the critical path on a Gantt chart?

To determine the critical path in a Gantt chart, list all project tasks, calculate the duration of each task, identify all dependent tasks and critical tasks, and figure out any lag time between tasks.

How do you find the critical path in slack time?

The latest start time is 1 month before the deadline, or 2 months. The earliest start time is now. So the slack time is calculated by subtracting the earliest start time from the latest: Slack time = 2 months – 0 months.

Why is Critical Path longest path?

Let’s break it down. Critical Path is the longest path through the project because that’s the only path with no (positive) float / wiggle room. Other (non-critical) paths on the schedule network diagram have (positive) float / wiggle room.

What is critical activity p6?

Critical activities are those that cannot delay without increasing the length of the entire project schedule. Primavera P6 Professional provides two options to help define critical activities.

How does critical path analysis work?

Critical path analysis identifies the sequence of crucial and interdependent steps that comprise a work plan from start to finish. It also identifies non-critical tasks. … The concept of a critical path recognizes that completion of some tasks in a project is dependent on the completion of other tasks.

Which one is true about the critical path?

The critical path consists of the longest sequence of activities from project start to finish that must be completed to ensure the project is finished by a certain time. The activities on the critical path must be very closely managed. … The critical path essentially determines the end date in your project schedule.

What is the difference between PERT and CPM?

The difference between PERT and CPM is that PERT stands for Program Evaluation and Review Technique, and CPM stands for Critical Path Method. PERT manages unpredictable activities, whereas CPM manages predictable activities. PERT is related to the events, but CPM is related to the activities.

What is the difference between PERT and CPM Mcq?

PERTCPM3. Event oriented network model3. Activity-oriented network model

Can critical path have float?

Critical path activities can have float; hence the critical path can have float.

What is critical path method PDF?

→ The Critical Path Method is used to determine the shortest possible time to complete the project. → The CPM is a sequence of activities of a project’s starting activity & time and the project’s finish time and activity. … → CPM_method is used for planning and scheduling activity.

Is critical path is the shortest path?

Yes, the critical path is the longest overall duration for the sequenced activities. It is not the shortest project duration and it is the shortest time possible to complete the project.

Why critical path is shortest path?

The critical path is the longest path in a directed acyclic graph. Its length is the shortest time to complete the project, under the assumption that all tasks along that path are completed in the time allotted and no task on another path was delayed longer than the available slack for that task.

Is the critical path always the shortest path?

Misconception: The critical path is the shortest path through the network diagram. Fact: The critical path is the longest path through the network diagram, meaning the sequence of activities that collectivity define the starting and ending dates for the project and have no slack or float time (excess time).