The Daily Insight

Connected.Informed.Engaged.

news

What is Lambda min and Lambda 1se

Written by Ava White — 0 Views

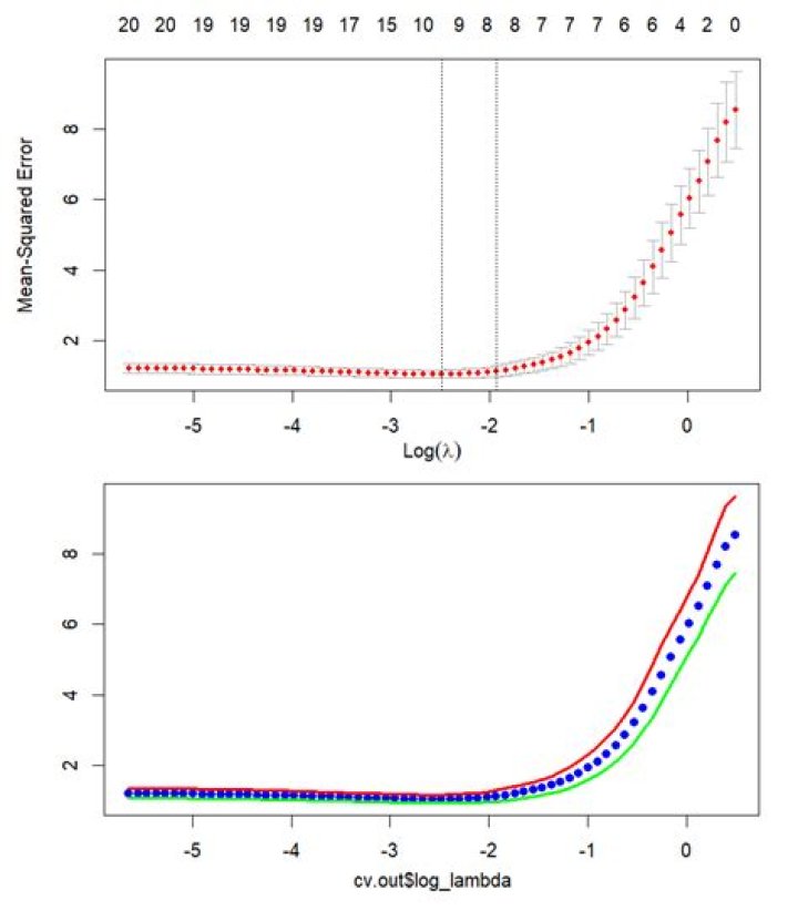
lambda. min is the value of λ that gives minimum mean cross-validated error, while lambda. 1se is the value of λ that gives the most regularized model such that the cross-validated error is within one standard error of the minimum.

What is lambda in GLM?

lambda. a sequence of values to profile for the upper asymptote of the psychometric function. plot.it. logical indicating whether to plot the profile of the deviances as a function of lambda. further arguments passed to glm.

What is Alpha and Lambda in Lasso regression?

alpha : determines the weighting to be used. In case of ridge regression, the value of alpha is zero. family : determines the distribution family to be used. Since this is a regression model, we will use the Gaussian distribution. lambda : determines the lambda values to be tried.

What does Lambda represent in Lasso?

In lasso, the penalty is the sum of the absolute values of the coefficients. … Hence, much like the best subset selection method, lasso performs variable selection. The tuning parameter lambda is chosen by cross validation. When lambda is small, the result is essentially the least squares estimates.

What package is CV GLM in?

The cv. glm() function is part of the boot library. The cv. glm() function produces a list with several components.

Why is Glmnet so fast?

Mostly written in Fortran language, glmnet adopts the coordinate gradient descent strategy and is highly optimized. As far as we know, it is the fastest off-the-shelf solver for the Elastic Net. Due to its inherent sequential nature, the coordinate descent algorithm is extremely hard to parallelize.

What is Ridge model?

Ridge regression is a method of estimating the coefficients of multiple-regression models in scenarios where independent variables are highly correlated. It has been used in many fields including econometrics, chemistry, and engineering.

What is lambda in linear regression?

When we have a high degree linear polynomial that is used to fit a set of points in a linear regression setup, to prevent overfitting, we use regularization, and we include a lambda parameter in the cost function. This lambda is then used to update the theta parameters in the gradient descent algorithm.

What does CV Glmnet do?

cv. glmnet() performs cross-validation, by default 10-fold which can be adjusted using nfolds. A 10-fold CV will randomly divide your observations into 10 non-overlapping groups/folds of approx equal size. The first fold will be used for validation set and the model is fit on 9 folds.

What is lambda in Regularisation?

The lambda parameter controls the amount of regularization applied to the model. A non-negative value represents a shrinkage parameter, which multiplies P(α,β) in the objective. The larger lambda is, the more the coefficients are shrunk toward zero (and each other).

Article first time published on

What is Lambda Hyperparameter?

Lambda is a hyperparameter determining the severity of the penalty. As the value of the penalty increases, the coefficients shrink in value in order to minimize the cost function.

How does Lambda affect cost function?

If λ is increased, model complexity will have a greater contribution to the cost. Because the minimum cost hypothesis is selected, this means that higher λ will bias the selection toward models with lower complexity.

Why does Lasso shrink zero?

The lasso performs shrinkage so that there are “corners” in the constraint, which in two dimensions corresponds to a diamond. If the sum of squares “hits” one of these corners, then the coefficient corresponding to the axis is shrunk to zero.

Why is ridge regression used?

Ridge regression is a model tuning method that is used to analyse any data that suffers from multicollinearity. This method performs L2 regularization. When the issue of multicollinearity occurs, least-squares are unbiased, and variances are large, this results in predicted values to be far away from the actual values.

What is elastic net regression?

Elastic net is a popular type of regularized linear regression that combines two popular penalties, specifically the L1 and L2 penalty functions. … Elastic Net is an extension of linear regression that adds regularization penalties to the loss function during training.

What is the difference between glm and LM?

You’ll get the same answer, but the technical difference is glm uses likelihood (if you want AIC values) whereas lm uses least squares. Consequently lm is faster, but you can’t do as much with it.

What is Delta in CV glm?

The first component of delta is the average mean-squared error that you obtain from doing K-fold CV. The second component of delta is the average mean-squared error that you obtain from doing K-fold CV, but with a bias correction.

What is Loocv?

The Leave-One-Out Cross-Validation, or LOOCV, procedure is used to estimate the performance of machine learning algorithms when they are used to make predictions on data not used to train the model.

What is Ridge ML?

Tikhonov Regularization, colloquially known as ridge regression, is the most commonly used regression algorithm to approximate an answer for an equation with no unique solution. This type of problem is very common in machine learning tasks, where the “best” solution must be chosen using limited data.

What is Ridge CV?

ridge.cv: Ridge Regression. This function computes the optimal ridge regression model based on cross-validation.

What is L2 regularization?

L2 regularization acts like a force that removes a small percentage of weights at each iteration. Therefore, weights will never be equal to zero. L2 regularization penalizes (weight)² There is an additional parameter to tune the L2 regularization term which is called regularization rate (lambda).

What package is Glmnet in?

Package source:glmnet_4.1-3.tar.gzOld sources:glmnet archive

What is the caret package in R?

The caret package (short for Classification And REgression Training) is a set of functions that attempt to streamline the process for creating predictive models. The package contains tools for: data splitting. pre-processing.

What is a GLM in statistics?

The term general linear model (GLM) usually refers to conventional linear regression models for a continuous response variable given continuous and/or categorical predictors. It includes multiple linear regression, as well as ANOVA and ANCOVA (with fixed effects only).

How does Glmnet choose Lambda?

It appears that the default in glmnet is to select lambda from a range of values from min. lambda to max. lambda , then the optimal is selected based on cross validation.

What does Glmnet stand for?

glmnet: Lasso and Elastic-Net Regularized Generalized Linear Models. Page 1.

What is K fold cross validation used for?

Cross-validation is a resampling procedure used to evaluate machine learning models on a limited data sample. The procedure has a single parameter called k that refers to the number of groups that a given data sample is to be split into.

What is lambda in ML?

AWS Lambda – Lets you run ML inference code without provisioning or managing servers and only paying for the time it takes to run. The Lambda function loads a deep learning model and detects objects in an image. Lambda layers contain packaged code that you can import across several functions.

What happens if the value of lambda is too high?

If your lambda value is too high, your model will be simple, but you run the risk of underfitting your data. Your model won’t learn enough about the training data to make useful predictions. … Your model will learn too much about the particularities of the training data, and won’t be able to generalize to new data.

Is high bias Overfitting?

A model that exhibits small variance and high bias will underfit the target, while a model with high variance and little bias will overfit the target. A model with high variance may represent the data set accurately but could lead to overfitting to noisy or otherwise unrepresentative training data.

What is lambda in deep learning?

Lambda | Deep Learning | ASUS US. Deep Learning Solution. A GPU cluster on your desk. A Deep Learning GPU Cluster On Your Desk. The Lambda Quad supports up to 4x Quadro 8000 RTX GPUs with 48 GB of dedicated VRAM per GPU.