The Daily Insight

Connected.Informed.Engaged.

updates

What is the purpose of tazobactam

Written by Ava White — 0 Views

Piperacillin and tazobactam injection is used to treat pneumonia and skin, gynecological, and abdominal (stomach area) infections caused by bacteria.

What does tazobactam cover?

Piperacillin/tazobactam is a beta-lactam/beta-lactamase inhibitor combination with a broad spectrum of antibacterial activity encompassing most Gram-positive and Gram-negative aerobic bacteria and anaerobic bacteria, including many pathogens producing beta-lactamases.

How does piperacillin work in the body?

Piperacillin kills bacteria by inhibiting the synthesis of bacterial cell walls. It binds preferentially to specific penicillin-binding proteins (PBPs) located inside bacterial cell walls.

Why is piperacillin tazobactam used?

Piperacillin and tazobactam combination injection is used to treat bacterial infections in many different parts of the body (eg, stomach or bowel, lungs, skin, female reproductive organs).

How do you inject tazobactam?

How to use Piperacillin-Tazobactam Vial. This medication is given by injection into a vein as directed by your doctor, usually every 6 hours. It should be injected slowly over at least 30 minutes. The dosage is based on your medical condition and response to treatment.

What is zosyn given for?

Piperacillin/tazobactam is used to treat a wide variety of bacterial infections. It is a penicillin antibiotic. It works by stopping the growth of bacteria.

What is ceftriaxone used for?

Ceftriaxone is a cephalosporin (SEF a low spor in) antibiotic. Ceftriaxone is used to treat many kinds of bacterial infections, including severe or life-threatening forms such as E. coli, pneumonia, or meningitis. Ceftriaxone is also used to prevent infection in people having certain types of surgery.

Is tazobactam a beta lactam?

Piperacillin-tazobactam is a beta-lactam/beta-lactamase inhibitor combination with a broad spectrum of antibacterial activity that includes Gram-positive and -negative aerobic and anaerobic bacteria.

What is ceftriaxone and tazobactam injection?

Description: The combination of ceftriaxone and Tazobactam is used to treat certain infections including urinary tract infections and infections of the abdomen (stomach area). It is also used to treat certain types of pneumonia that developed in people who are on ventilators or who were in a hospital.

Can piperacillin and tazobactam be given IV?

Purpose: Piperacillin/tazobactam is a broad-spectrum antibiotic that is widely used and commonly administered via the intravenous (i.v.) piggyback route over 0.5 to 4.0 hours. Recommendations for i.v. push (IVP) administration of piperacillin/tazobactam are lacking due to the high osmolality of the solution.

Article first time published on

Is piperacillin and tazobactam safe?

In all trials, piperacillin/tazobactam was found to be safe and well tolerated. One death was deemed possibly drug-related. Thirty-eight patients were withdrawn from the trials because of adverse experiences, most often diarrhoea and allergic skin reactions.

What's another name for piperacillin tazobactam?

Piperacillin/tazobactam, sold under the brand names Tazocin and Zosyn among others, is a combination medication containing the antibiotic piperacillin and the β-lactamase inhibitor tazobactam.

How is piperacillin tazobactam administered?

Piperacillin/Tazobactam 2 g / 0.25 g is administered by intravenous infusion (over 30 minutes).

Can piperacillin tazobactam be given IM?

For Intravenous and Intramuscular Use. To reduce the development of drug-resistant bacteria and maintain the effectiveness of PIPRACIL and other antibacterial drugs, PIPRACIL should only be used to treat or prevent infections that are proven or strongly suspected to be caused by bacteria.

Is piperacillin tazobactam safe in pregnancy?

The use of piperacillin/tazobactam during pregnancy is considered to be moderately safe (pregnancy category B) for the human embryo-foetus.

Is azithromycin an antibiotic?

Azithromycin is an antibiotic. It’s widely used to treat chest infections such as pneumonia, infections of the nose and throat such as sinus infection (sinusitis), skin infections, Lyme disease, and some sexually transmitted infections.

How do you give tazocin IV?

For intravenous infusion, give intermittently in Glucose 5% or Sodium chloride 0.9%. Reconstitute initially (2.25 g in 10 mL, 4.5 g in 20 mL) with water for injections, or glucose 5% (Tazocin ® brand only), or sodium chloride 0.9%, then dilute to 50–150 mL with infusion fluid; give over 30 minutes.

Can you push tazocin?

Although ongoing administration of piperacillin/tazobactam is likely best done as an extended infusion to provide adequate time above MIC, IV push administration of the first dose could allow for a more timely administration and in circumstances with limited IV access and the need for additional antibiotics such as …

Is ceftriaxone used to treat pneumonia?

Several centers now use ceftriaxone, a third generation cephalosporin, which is reported to be efficacious in the treatment of severe pneumonia. However the high cost of ceftriaxone is too prohibitive to allow for its routine use in resource constrained countries.

Can antibiotics be given by injection?

injections of antibiotics – these can be given as an injection or infusion through a drip directly into the blood or muscle, and are usually reserved for more serious infections.

Is ceftriaxone a strong antibiotic?

Is ceftriaxone (Rocephin) a strong antibiotic? Ceftriaxone (Rocephin) is a “broad spectrum” antibiotic, which means that it works against a good number of bacteria. There are other antibiotics that can treat more types of infections or more serious infections.

Is zosyn only IV?

ZOSYN should be administered by intravenous infusion over 30 minutes. The usual total daily dose of ZOSYN for adults is 3.375 g every six hours totaling 13.5 g (12.0 g piperacillin/1.5 g tazobactam). The usual duration of ZOSYN treatment is from 7 to 10 days.

Does zosyn treat gram positive cocci?

Piperacillin/tazobactam (Zosyn) is a combination antibiotic containing the extended-spectrum penicillin antibiotic piperacillin and the β-lactamase inhibitor tazobactam. This antibiotic has activity against many Gram-positive, Gram-negative, and anaerobic pathogens.

What is ampicillin and sulbactam?

The combination of ampicillin and sulbactam injection is used to treat certain infections caused by bacteria, including infections of the skin, female reproductive organs, and abdomen (stomach area). Ampicillin is in a class of medications called penicillin-like antibiotics. It works by stopping the growth of bacteria.

Which antibiotic is best for typhoid?

  • Ciprofloxacin (Cipro). In the United States, doctors often prescribe this for adults who aren’t pregnant. …
  • Azithromycin (Zithromax). …
  • Ceftriaxone.

Why is ceftriaxone given IV?

Ceftriaxone is injected into a muscle or as an infusion into a vein (IV). A healthcare provider will give you this injection when ceftriaxone is used to prevent infection from surgery. You may be shown how to use the injection at home to treat an infection.

What is metronidazole used for?

Metronidazole is an antibiotic that is used to treat a wide variety of infections. It works by stopping the growth of certain bacteria and parasites. This antibiotic treats only certain bacterial and parasitic infections. It will not work for viral infections (such as common cold, flu).

Are amoxicillin antibiotics?

1. About amoxicillin. Amoxicillin is a penicillin antibiotic. It is used to treat bacterial infections, such as chest infections (including pneumonia) and dental abscesses.

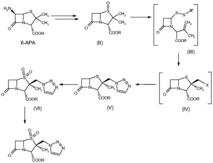
What is the Group of tazobactam?

Tazobactam is a member of the class of penicillanic acids that is sulbactam in which one of the exocyclic methyl hydrogens is replaced by a 1,2,3-triazol-1-yl group; used (in the form of its sodium salt) in combination with ceftolozane sulfate for treatment of complicated intra-abdominal infections and complicated …

What is the mechanism of action of clindamycin?

Clindamycin works primarily by binding to the 50s ribosomal subunit of bacteria. This agent disrupts protein synthesis by interfering with the transpeptidation reaction, which thereby inhibits early chain elongation.

Is Piperacillin tazobactam nephrotoxic?

Piperacillin/tazobactam (TZP) has been associated with nephrotoxicity in patients receiving vancomycin. Its impact on nephrotoxicity in patients with Gram-negative bacteraemia (GNB) is unclear.